Liputan6.com, Jakarta Turunan fungsi aljabar sering kita temui pada pembelajaran Sekolah Menengah Atas atau SMA muapun SMK. Turunan sebenarnya adalah bentuk sebuah fungsi ngalamin perubahan akibat perubahan nilai masukan. Kalo kamu bingung, sederhananya turunan memiliki sub fungsi lainnya, jika sub fungsi ini berubah, maka fungsinya juga bakalan berubah.
Sedangkan, definisi turunan fungsi ( diferensial ) adalah fungsi lain dari suatu fungsi sebelumnya, contohnya fungsi f dijadikan f' yang mempunyai nilai tidak memakai aturan. Sementara, pengertian turunan aljabar adalah perluasan dari materi limit fungsi.
Advertisement
Secara umum, turunan fungsi memiliki definisi yaitu pengukuruan di mana hasil dari fungsi akan berubah sesuai dengan variabel yang kita masukan, atau secara umum suatu besaran yang berubah seiring perubahan besaran lainnya. Proses dalam menemukan turunan disebut sebagai diferensiasi.
Berikut ini penjelasan mengenai definisi turunan fungsi aljabar, rumus, dan pengaplikasiannya yang telah dirangkum oleh Liputan6.com dari berbagai sumber, Selasa (2/11/2021).
Menjadi pendidik adalah cita-cita Syafrida Hasan yang dirintisnya sejak menempuh pendidikan di IKIP Padang. Doktor jurusan matematika murni dari Howard University, Washington DC ini, sejak tahun 2006 mengajar mata kuliah Kalkulus di Morgan State Univ...
Definisi Turunan Fungsi Aljabar
Turunan adalah pengukuran terhadap bagaimana fungsi berubah seiring perubahan nilai yang dimasukan, atau secara umum turunan menunjukkan bagaimana suatu besaran berubah akibat perubahan besaran lainnya. Proses dalam menemukan turunan disebut diferensiasi.
Turunan fungsi aljabar merupakan fungsi lain dari suatu fungsi sebelumnya, sebagai contoh fungsi f menjadi f' yang memiliki nilai tidak beraturan. Fungsi dari turunan sendiri yang sering kita ketahui merupakan menghitung garis singgung pada suatu kurva atau fungsi dan kecepatan.
Advertisement
Rumus Turunan Fungsi Aljabar
Berikut ini rumus turunan fungsi aljabar yang dapat Anda ketahui, di antaranya:
Aplikasi Turunan Fungsi Aljabar
Berikut ini pengaplikasian turunan fungsi aljabar, yaitu:
1. Menentukan gradien garis singgung suatu kurva
Gradien garis singgung (m) pada suatu kurva y = f(x) dirumuskan sebagai: M = y’ = f’(x)
2. Menentukan interval fungsi naik dan fungsi turun
a. Syarat interval fungsi naik : f'(x) > 0
b. Syarat interval fungsi turun : f'(x) < 0
3. Menentukan nilai stasioner suatu fungsi dan jenisnya
Jika fungsi y = f(x) kontinu dan diferensiabel di x = a dan f'(x) = 0, maka fungsi memiliki nilai statisioner di x = a. Jenis nilai stasioner dari fungsi y = f(x) dapat berupa nilai balik minimum, nilai balik maksimum, atau nilai belok. Jenis nilai stasioner ini bisa ditentukan dengan menggunakan turunan kedua dari fungsi tersebut.
a. Nilai maksimum : f'(x) = 0 dan f"(x) < 0
Jika f'(x1) = 0 dan f'(x1) < 0, maka f'(x1) adalah nilai balik maksimum dari fungsi y = f(x) dan titik (x1f(x)) adalah titik balik maksimum dari kurva y = f(x).
b. Nilai minimum : f'(x) = 0 dan f"(x) > 0
Jika f'(x1) = 0 dan f'(x1) > 0 , maka f(x1) adalah nilai balik minimum dari fungsi y = f(x) dan titik (x1f(x)) adalah titik balik minimum dari kurva y = f(x).
c. Nilai belok : f'(x) = 0 dan f"(x) = 0
Jika f'(x1) = 0 dan f''(x1 = 0), maka f(x1) adalah nilai belok dari fungsi y = f(x) dan titik (x1f(x)) adalah titik belok dari kurva y = f(x).
4. Menyelesaikan soal limit berbentuk tak tentu
Jika limit merupakan limit berbentuk tak tentu 0/0, maka penyelesaiannya dapat menggunakan turunan, yaitu f(x) dan g(x) pada masing-masing turunan. Jika dengan turunan pertama sudah dihasilkan bentuk tertentu, maka bentuk tertentu itu adalah penyelesaiannya. Tetapi jika dengan turunan pertama masih dihasilkan bentuk tak tentu, maka masing-masing f(x) dan g(x) diturunkan lagi sampai diperoleh hasil berbentuk tertentu.
Advertisement
Contoh Soal Turunan Fungsi Aljabar
Tentukan turunan pertama fungsi berikut ini:
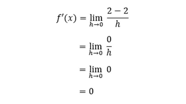
1. f(x) = 2
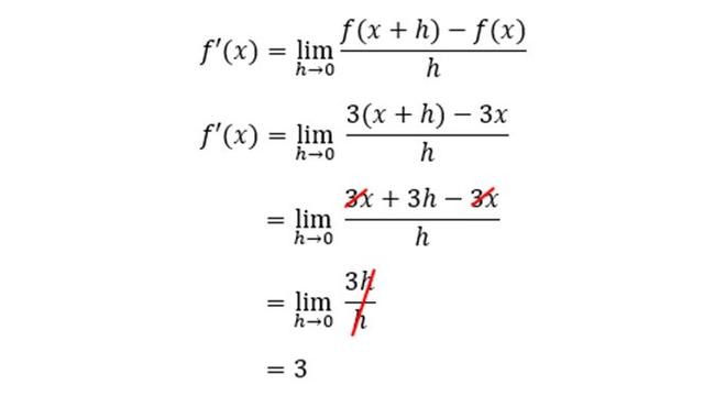
2. f(x) = 3x
Pembahasannya:
1. Fungsi f(x) = 2 merupakan fungsi konstan. Oleh karena itu, grafiknya berupa garis yang sejajar dengan sumbu x di titik x = 2. Jadi, garisnya berbentuk datar. Nah, karena grafik fungsinya datar, otomatis garis singgung fungsi tersebut juga ikut datar. Alhasil, garis singgung fungsi f(x) = 2 tidak punya kemiringan (nilai gradiennya = 0). Berarti, turunan pertama fungsi f(x) = 2 adalah nol. Coba kita buktikan menggunakan rumus turunan di atas. Karena dia fungsi konstan, maka f(x + h) = f(x), yaitu 2. Sehingga,
Jawabannya sama dengan analisis sebelumnya. Dengan begitu, bisa dipastikan, jika f(x) = C (fungsi konstan), maka f’(x) = 0.
2. f(x) = 3x merupakan fungsi linear, maka grafiknya berupa garis lurus, tapi tidak sejajar dengan sumbu x maupun y. Sama seperti poin pertama, garis singgung fungsi tersebut akan mengikuti bentuk grafik fungsinya. Oleh karena itu, gradien garis singgung fungsi tersebut juga akan sama dengan gradien grafik fungsinya. Anda masih ingat dengan bentuk persamaan y = mx + c?
Artinya, gradien suatu persamaan linear adalah koefisien dari variabel x itu sendiri, yaitu m. Nah, f(x) = 3x ini kan merupakan persamaan linear. Berarti, gradien garisnya adalah koefisien x, yaitu 3. Berarti, gradien garis singgungnya juga 3. Jadi, turunan pertama fungsi f(x) = 3x adalah 3. Coba ya kita buktikan lagi menggunakan rumus turunannya. f(x) = 3x, maka f(x + h) = 3(x + h). Sehingga,
:strip_icc()/kly-media-production/medias/5440200/original/086699600_1765425499-Cek_Fakta_Tidak_Benar_Ini_Link_Pendaftaran_-_2025-12-11T103730.975.jpg)
:strip_icc()/kly-media-production/medias/2724518/original/041316200_1549706613-20190209-Petani-Kerambah-Jaring-Apung-Waduk-Jatiluhur-Imam3.jpg)
:strip_icc()/kly-media-production/medias/5409376/original/019158900_1762854150-Kereta_Rel_Listrik-2.jpg)
:strip_icc()/kly-media-production/medias/5450945/original/026930700_1766212333-token_klaim.jpg)
:strip_icc()/kly-media-production/medias/2760423/original/051770400_1553499838-photo-1509869175650-a1d97972541a.jpg)
:strip_icc()/kly-media-production/medias/3620495/original/073673000_1635842911-rumus_aljabar.jpg)
:strip_icc()/kly-media-production/medias/3259664/original/012480300_1601993331-Ilustrasi_matematika_1.jpg)
:strip_icc()/kly-media-production/medias/3620496/original/077361200_1635842911-soal_aljabar_1.jpg)
:strip_icc()/kly-media-production/medias/3620497/original/080662700_1635842911-soal_aljabar_2.jpg)
:strip_icc()/kly-media-production/medias/5446038/original/003387300_1765871568-Lagidiskon__desktop-mobile__356x469_-_Button_Share.png)
:strip_icc()/kly-media-production/medias/1429293/original/037383000_1481114577-20161207--Laptop-Acer-Seharga-20-Juta-Jakarta-Angga-Yuniar-01.jpg)
:strip_icc()/kly-media-production/medias/5436096/original/000714800_1765162370-pexels-photo-1740919.webp)
:strip_icc()/kly-media-production/medias/4800209/original/049531900_1712900090-shutterstock_2286683503.jpg)
:strip_icc()/kly-media-production/medias/5442113/original/056839600_1765528039-Ilustrasi_smartphone__tablet__dan_laptop.png)
:strip_icc()/kly-media-production/medias/5441514/original/073297500_1765510798-Depositphotos_547538726_L.jpg)
:strip_icc()/kly-media-production/medias/5429431/original/070225500_1764586417-pexels-yankrukov-9072212.jpg)
:strip_icc()/kly-media-production/medias/5434294/original/022663100_1764921813-Depositphotos_209735730_L.jpg)
:strip_icc()/kly-media-production/medias/5424660/original/045643900_1764150556-IMG-20251126-WA0006.jpg)
:strip_icc()/kly-media-production/medias/5429377/original/065579200_1764583822-pexels-shkrabaanthony-5264912.jpg)
:strip_icc()/kly-media-production/medias/5428662/original/071057300_1764557835-Depositphotos_170438662_L.jpg)
:strip_icc()/kly-media-production/medias/5426355/original/026522800_1764302989-Depositphotos_189719384_L.jpg)
:strip_icc()/kly-media-production/medias/5415137/original/055240200_1763361833-pexels-muffinsaurs-1214212.jpg)